Твёрдость
Твердость материала — это его способность сопротивляться пластической деформации. Твердость и предел текучести — это в какой-то мере сравнимые характеристики: обычно при увеличении одной из них увеличивается и другая, однако, по мере того как металлический материал становится тверже, он обычно теряет пластичность. Иначе говоря, материал становится хрупким, если его предел текучести столь велик, что пластическая деформация не происходит вплоть до тех напряжений, которые сразу же вызывают разрушение.
Для измерения твердости обычно применяются три следующих способа:

Метод Бринелля HB (ISO 6506): в качестве тестирующего предмета используется стальное ядро, измеряется диаметр отпечатка.
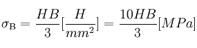
Зная твёрдость по Бринеллю, можно быстро найти предел прочности и текучести материала. Так, к примеру, для определения предела прочности и текучести стали используются формулы:


Твёрдость по шкале Бринелля выражают в Н/мм2.
Метод Виккерса HV (ISO 6507): в качестве тестирующего предмета используется тупой конец пирамиды, измеряется диагональ отпечатка. Твердость по Виккерсу вычисляется путём деления нагрузки Р на площадь поверхности полученного пирамидального отпечатка. Твёрдость по шкале Виккерса выражают в Н/мм2.
Метод Роквелла (ISO 6508): Способ основан на проникновении твёрдого наконечника в материал и измерении глубины проникновения. HRB — твердость для мягких материалов измеряется по глубине отпечатка ядра, HRC— твердость для твердых материалов измеряется по глубине отпечатка пирамидального наконечника.